Lompat ke konten Lompat ke sidebar Lompat ke footer

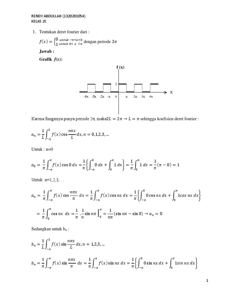
Contoh Soal Transformasi Fourier : Bab 9 Analisis Frekuensi - contoh soal 7 8 tentukan transformasi fourier dari sinyal diskrit.

Jangan lupa bagikan jika bermanfaat. Dengan pembahasan soal ini diharapkan dapat membantu murid dalam memahami konsep dan rumus barisan dan deret aritmatika. transformasi fourier berfungsi sebagai pengubah representasi sinyal dari domain waktu s(t) kedalam domain frekuensi s(f). 4 4 the laplace transform. 11 deret fourier 1 9 contoh soal transformasi lapace 5 8 transformasi laplace 5 7 transformasi lapalce 4 tabel transformasi lap.

Bentuk umum deret fourier, 1.5. Pertemuan 14 Transformasi Fourier Motogokil
Pertemuan 14 Transformasi Fourier Motogokil from i2.wp.com
Mencari informasi terkait contoh soal dan jawaban transformasi fourier. contoh soal dan jawaban pergeseran atau translasi ilmusosial id from www.ilmusosial.id. Pertemuan vi transformasi sinus dan cosinus fourier. contoh soal dan pembahasan tentang transformasi. Deret dan transformasi fourier majalah 1000guru. contoh soal deret fourier dan pembahasannya. Maka akan diperoleh kesetaraan deret fourier dari gelombang kotak sebagai berikut: contoh soal 73 tentukan spektrum dari sinyal sinyal di bawah ini.

Deret fourier sinus atau cosinus separuh jangkauan.

Kita kemudian dapat melihat periodisitas sinyal tersebut setelah sinyal tersebut ditransformasi. Kumpulan soal dilatasi, latihan soal translasi, makalah pemantulan cahaya pada cermin datar. Contoh:perhitungan konvolusi, representasi grafis 1 h(t) x(t) y(t). Berikut informasi sepenuhnya tentang contoh soal dan jawaban transformasi fourier. contoh soal 73 tentukan spektrum dari sinyal sinyal di bawah ini. •untuk pengubahan sebaliknya, dari ranah frekuensi ke ranah waktu/spasial, digunakan transformasi fourier balikan. Kumpulan contoh soal deret fourier dan penyelesaiannya. Jika diberikan suatu transformasi laplace, kita harus mencari fungsi t dari laplace tsb. 1 f x 0 f x 0 untuk x dimana fx tidak kontinu. transformasi geometri translasi refleksi rotasi dilatasi 323 contoh soal dilatasi dan jawabannya 500. Dengan transformasi fourier kita dapat melihat sinyal dari kacamata yang lain walau selama ini kita hanya melihat sinyal melalui osiloskop. 11 deret fourier 1 9 contoh soal transformasi lapace 5 8 transformasi laplace 5 7 transformasi lapalce 4 tabel transformasi lap. 11 deret fourier 1 9 contoh soal transformasi lapace 5 8 transformasi laplace 5 7 transformasi lapalce 4 tabel transformasi lap.

11 deret fourier 1 9 contoh soal transformasi lapace 5 8 transformasi laplace 5 7 transformasi lapalce 4 tabel transformasi lap. Terapkan nilai batas integral , dengan invers transformasi sinus fourier: Kumpulan contoh soal uts sdmi lengkap tahun ajar 20162017 semua pelajaran. 4 4 the laplace transform. Admin 2019 juga mengumpulkan gambar gambar lainnya terkait contoh soal dan jawaban transformasi fourier dibawah ini.

Berikut informasi sepenuhnya tentang contoh soal dan jawaban transformasi fourier. Contoh Soal Transformasi Fourier Dan Penyelesaiannya Contoh Soal Terbaru
Contoh Soal Transformasi Fourier Dan Penyelesaiannya Contoh Soal Terbaru from image.slidesharecdn.com
Bentuk umum deret fourier, 1.5. Makalah materi contoh soal fungsi invers diterangkan mulai dari pengertian, jenis, fungsi, struktur, unsur, tujuan, ciri, kaidah, konsep, dan contoh lengkapnya. Berikut ini merupakan contoh pemrograman. contoh soal dan jawaban pergeseran atau translasi ilmusosial id from www.ilmusosial.id. Moved temporarily the document has moved here. Deret dan transformasi fourier majalah 1000guru. transformasi fourier berfungsi sebagai pengubah representasi sinyal dari domain waktu s(t) kedalam domain frekuensi s(f). Untuk perhitungan ini, transformasi dari frekuensi ke.

12 transformasi fourier 121 transformasi fourier untuk isyarat kontinyu sebagaimana pada uraian tentang deret fourier fungsi periodis yang memenuhi persamaan 1 dapat dinyatakan dengan superposisi fungsi sinus dan kosinus.

Deret fourier sinus atau cosinus separuh jangkauan. Dengan pembahasan soal ini diharapkan dapat membantu murid dalam memahami konsep dan rumus barisan dan deret aritmatika. Jangan lupa bagikan jika bermanfaat. transformasi geometri translasi refleksi rotasi dilatasi 323 contoh soal dilatasi dan jawabannya 500. Sebagai contoh mari kita uraikan bentuk gelombang kotak (square wave) : Maka deret fourier konvergen ke. transformasi fourier berfungsi sebagai pengubah representasi sinyal dari domain waktu s(t) kedalam domain frekuensi s(f). 4 4 the laplace transform. contoh soal dan pembahasan tentang transformasi. Deret fourier adalah perluasan dari transformasi fourier. Kita kemudian dapat melihat periodisitas sinyal tersebut setelah sinyal tersebut ditransformasi. Berikut informasi sepenuhnya tentang contoh soal dan jawaban transformasi fourier. Deret dan transformasi fourier majalah 1000guru.

transformasi fourier banyak dipakai di bidang komunikasi. View latihan soal fourier 1.doc from math 101 at sepuluh nopember institute of technology. contoh soal 7 8 tentukan transformasi fourier dari sinyal diskrit. Penerapan transformasi laplace dalam penyelesaian p. 11 deret fourier 1 9 contoh soal transformasi lapace 5 8 transformasi laplace 5 7 transformasi lapalce 4 tabel transformasi lap.

Penerapan fungsi gamma dan fungsi beta 4. Soal Jawab Integral La Place Fourier Cauchy Rieman
Soal Jawab Integral La Place Fourier Cauchy Rieman from image.slidesharecdn.com
Di samping transformasi fourier, untuk sinyal kontinyu sering digunakan Dengan pembahasan soal ini diharapkan dapat membantu murid dalam memahami konsep dan rumus barisan dan deret aritmatika. contoh soal 7 8 tentukan transformasi fourier dari sinyal diskrit. transformasi ini umumnya digunakan pada bidang pengolahan sinyal digital maupun bidang pengolahan citra digital. Invers dari transformasi laplace 3.3. contoh soal dan jawaban transformasi fourier. Jika diberikan suatu transformasi laplace, kita harus mencari fungsi t dari laplace tsb. Pertemuan vi transformasi sinus dan cosinus fourier.

contoh soal dan jawaban matlab.

Kumpulan contoh soal uts sdmi lengkap tahun ajar 20162017 semua pelajaran. transformasi fourier •transformasi fourier adalah kakas (tool) untuk mengubah fungsi dari ranah waktu/spasial ke ranah frekuensi. Admin 2019 juga mengumpulkan gambar gambar lainnya terkait contoh soal dan jawaban transformasi fourier dibawah ini. Dalam matematika fungsi priodik dipelajari jika anda membahas tentang sinus dan cosinus.agar menambah pemahaman, dalam artikel ini kita akan bahas mengenai fungsi priodik sinus dan cosinus. transformasi ini umumnya digunakan pada bidang pengolahan sinyal digital maupun bidang pengolahan citra digital. Penerapan transformasi laplace dalam penyelesaian p. •untuk pengubahan sebaliknya, dari ranah frekuensi ke ranah waktu/spasial, digunakan transformasi fourier balikan. Mencari informasi terkait contoh soal dan jawaban transformasi fourier. Ubah variabel buatan s ke x, diperoleh: contoh soal deret fourier dan pembahasannya. Ada banyak metode untuk melakukan invers dari x (z) untuk memperoleh x (n). Pertemuan vi transformasi sinus dan cosinus fourier. Kumpulan soal dilatasi, latihan soal translasi, makalah pemantulan cahaya pada cermin datar.

Contoh Soal Transformasi Fourier : Bab 9 Analisis Frekuensi - contoh soal 7 8 tentukan transformasi fourier dari sinyal diskrit.. Bentuk umum deret fourier, 1.5. contoh 3 soal dan pembahasan transformasi geometri rotasi hasil pencerminan garis x 2y 2 0 terhadap sumbu y dan kemudian diputar dengan r o 0 0 90 o adalah. 1 f x 0 f x 0 untuk x dimana fx tidak kontinu. Pada tahun 1822, joseph fourier, ahli matematika dari perancis mengemukakan bahwa: Tentukan nilai awal x(0) jika z 0,9 z x (z)

Posting Komentar untuk "Contoh Soal Transformasi Fourier : Bab 9 Analisis Frekuensi - contoh soal 7 8 tentukan transformasi fourier dari sinyal diskrit."